
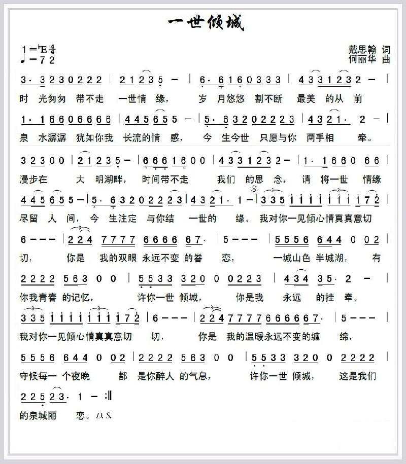
歌曲•一世倾城
作词:戴思翰
作曲:何丽华
演唱:晓 枫
出品:天音无限音乐工作室
《一世倾城》歌词•曲谱

歌曲•《一世倾城》是作家戴思翰先生作词创作的一首反映天下第一泉泉城济南的人文歌曲,由著名作曲家何丽华女士作曲,青年歌唱家晓枫演唱。 歌曲创作源于生活,又高于生活。
漫步时光中,活在珍惜里。有些人一旦遇见,便一眼千年;有些人一旦错过便是一生。有些情一旦开始,便覆水难收;有的人,只剩下一个名字,却怎么也不舍得删去。在爱的世界里,本没有对和错,错的是没有遇到对的人,缘深缘浅总为情牵绊,只有珍惜才能拥有。繁华落幕总有故事,就像一座城一样,生活久了总会有难忘的印记和刻骨铭心的故事,若爱就请真爱,许你一座城,许你一世倾城!
作者简介:戴思翰,笔名:夜半萧音,成吉思翰。诗、书、画自成一体;麒麟读书会创始人;《大家风范》杂志总编;天音无限音乐创始人。已出版长篇小说《尖峰对决》《权力失衡》,累计创作小说、诗歌、散文等作品达300多万字,已作词创作歌曲《一世倾城》《泉城秋雨》《爱在深秋》,为名曲《殇》《风居住的街道》配词。
编辑:寒烟 舒心
编审:玲珑 思翰

【天音无限音乐】
投稿邮箱:tianyinwuxian957@126.com



